5. Selektion von Daten

 

 

Durch Selektion von Daten wurden Ergebnisse erzeugt, die der Erwartung entsprachen.

Auf diesen Punkt wurden wir durch eine Information in der Stellungnahme von Frau Prof. Nieber hingewiesen. Frau Prof. Nieber schreibt:

"Werte die größer als 130% oder kleiner als 40% waren, wurden von uns ordnungsgemäß im Werteanhang aufgeführt, aber nicht in die Berechnung einbezogen. "

 

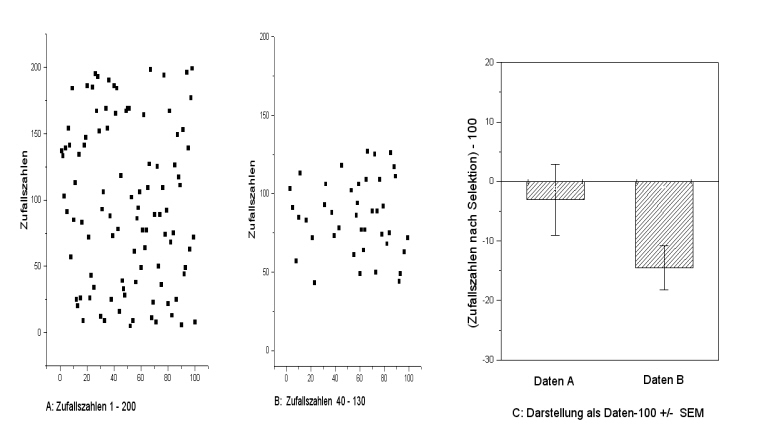
Abb. 6 Sektion von Zufallszahlen nach der von den Autoren verwendeten Methode und die Auswirkungen in der Darstellung der Ergebnisse. Einzelheiten siehe Text.

 

Das bedeutet, dass nur solche Daten berücksichtigt wurden, die innerhalb des Wertes 85% Kontraktion ± 45% lagen. Alle anderen wurden weggelassen. Eine Begründung für diese Selektion von Daten gibt Frau Prof. Nieber nicht. Es ist offensichtlich, dass durch diese Selektion von Daten neue Datensätze erzeugt wurden mit einem Mittelwert von etwa 85%. Das haben wir in Abb. 6 dargestellt: Abb. 6A zeigt 100 Zufallszahlen (heruntergeladen von www.random.org ) im Bereich zwischen 1 und 200. Die Zahlen haben einen zufälligen Mittelwert von 96,9. In Abb. 6B haben wir alle Werte über 140 und unter 40 herausgenommen. Der neue Datensatz hat einen zufälligen Mittelwert von 85,6% mit eine SEM von ±3,7%. Abb. 6C zeigt das Resultat in der Weise wie die Autoren ihre Ergebnisse (negativ, als Hemmung) dargestellt haben. Die linke Säule: Mittelwert der 100 Zahlen in der Originalverteilung, rechte Säule: das durch die Selektion erreichte Ergebnis. Durch diesen Trick kommt man zu Daten, die sich signifikant von 100 unterscheiden. Wird mit den hier angegebenen Beispiel ein Signifikanztest (t-Test, einseitig) durchgeführt, so erweist sich der Datensatz B als signifikant verschieden von 100%.

 

zurück zum Inhalt weiter